
The aim of this study was to investigate the acute effect of acetazolamide on pulmonary haemodynamics during exercise in patients with pulmonary vascular disease (PVD).
Patients with PVD diagnosed as pulmonary arterial (PAH) or chronic thromboembolic pulmonary hypertension (CTEPH) underwent right-heart catheterisation with haemodynamic measurements at rest and during stepwise incremental cycling exercise 60 min after receiving intravenous acetazolamide (500 mg) or saline placebo in accordance with a double-blind, randomised-controlled, crossover design. The main outcomes were the difference between pulmonary vascular resistance (PVR) and its components mean pulmonary artery pressure (mPAP), cardiac output (CO) and pulmonary arterial wedge pressure (PAWP), during exercise, assessed by a mixed linear regression analysis.
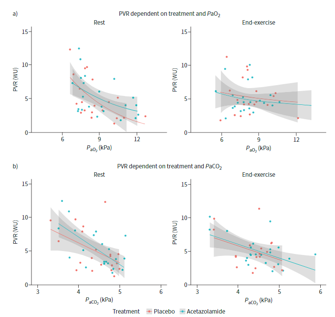
A total of 24 patients (n=7 PAH, n=17 CTEPH; n=17 male) were included (mean±sd age 59±14 years). Treatment with acetazolamide compared with saline placebo showed the following average marginal effects during exercise: unchanged end-exercise power (mean difference −0.8 W, 95% CI −5.7–4.1 W; p=0.740), reduced mPAP (mean difference −1.7 mmHg, 95% CI −2.9– −0.5 mmHg; p=0.007), tendency to reduced CO (mean difference −0.3 L·min−1, 95% CI −0.7–0.1 L·min−1; p=0.097), unchanged PVR (mean difference −0.1 Wood units (WU), 95% CI −0.3–0.2 WU; p=0.694), unchanged PAWP (mean difference 0.0 mmHg, 95% CI −0.2–0.3 mmHg; p=0.783) and unchanged mPAP/CO slope (mean difference 0.1 WU, 95% CI −1.0–1.3 WU; p=0.839).
Intravenous acetazolamide was well tolerated and resulted in a significant but small decrease in mPAP, while CO, PVR and the pressure–flow slope during exercise were unchanged.